对领导个人征求意见表:促进组织发展的关键建议
2024-08-21
化学配平口诀的优化与解析
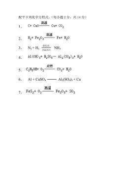
化学配平是化学学习中不可或缺的一环,为了帮助大家更好地掌握这个技巧,本文将介绍一些化学配平口诀,并对其进行解析。
一、化学配平口诀
一找元素见面多,二将奇数变成偶,三按连锁先配平,四用观察配其它。
有氢找氢无氢找氧,奇数配偶变单成双,出现分数去掉分母,调整系数使支配平。
最小公倍数法:找出原子个数较多,且在反应式两边各出现一次的原子,求它的最小公倍数。
奇偶配平法:找出化学方程式左右两端原子数最多的某一只出现一次的元素,求出它们的最小公倍数。
二、解析
“一找元素见面多”:指的是在化学反应中,元素之间会相互转化,因此需要找到那些在反应前后出现次数较多的元素。
“二将奇数变成偶”:指的是在配平时,如果某一边的原子数是奇数,可以通过乘以适当的系数将其变为偶数,这样更方便进行配平。
“三按连锁先配平”:指的是在化学反应中,有些元素之间会形成连锁反应,需要按照连锁反应的顺序进行配平。
“四用观察配其它”:指的是在配平过程中,如果某一边的元素已经确定,可以通过观察其他元素来确定它们的系数。
“有氢找氢无氢找氧”:指的是在配平时,如果有氢元素参与反应,首先考虑使用氢元素进行配平;如果没有氢元素参与反应,则考虑使用氧元素进行配平。
“奇数配偶变单成双”:指的是在配平时,如果某一边的原子数是奇数,可以通过乘以适当的系数将其变为偶数。
“出现分数去掉分母”:指的是在配平时,如果某一边的系数是分数形式,可以先去掉分母再进行配平。
“调整系数使支配平”:指的是在配平过程中,需要不断调整各元素的系数,使得左右两边的原子数相等。
三、总结
化学配平口诀是学习化学的重要工具之一,通过掌握这些口诀和技巧,可以更加快速、准确地完成化学方程式的配平。同时,这些口诀和技巧也是学习化学过程中的一种乐趣和挑战。希望本文的介绍能够帮助大家更好地掌握化学配平的技巧和方法。
免责声明:本站所有作品图文均由用户自行上传分享,仅供网友学习交流。若您的权利被侵害,请联系我们
相关文章
2024-08-21
2024-08-21
2024-08-21
2024-08-21
2024-08-21
2024-08-21
2024-08-21
2024-08-21
2024-08-21
2024-08-21
2024-08-21
2024-08-21
2024-08-21
2024-08-21
站长推荐
超详细!麦当劳大薯条DIY制作,再也不用去快餐店排队
草莓慕斯蛋糕:美味与颜值并存的甜点
轰炸鸡排:美味炸鸡胸排的制作秘诀
美味健康的洋葱炒猪肝做法
轻松制作美味鸡尾包:详细步骤与技巧
家常洋白菜炒粉:美味不腻的快手菜
新奥尔良烤鸡翅:入味多汁的秘诀在这里!
家常美味:辣炒鱿鱼的做法详解
香酥麻花的制作方法与配方:咸甜皆宜的美味小食
家常美味:茄子炖土豆的制作方法
制作香甜可口的油香:简单易学的烹饪指南
十香菜搭配蔬菜鸡肉,美味健康的家常炒菜
枸杞泡茶:简单易做的滋补饮品
海参汤的家常做法:简单又美味
制作甜酒酿:糯米的艺术与酒药的魔法